5/6
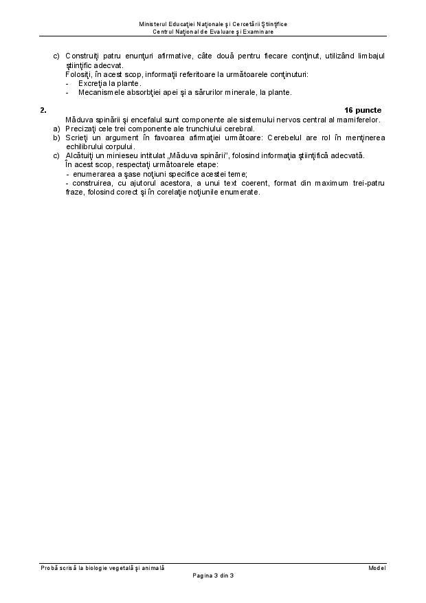
BACALAUREAT 2017. SUBIECTE de BIOLOGIE și baremul de evaluare și notare
| Imaginea 5 din 6 | Galerie Foto
Povestea icoanei pictate de Nicolae Grigorescu şi vândută cu un preţ record în România
Bradul artificial nu salvează natura, ci dimpotrivă. Argumentele specialiștilor
Cornel Constantin Ciomâzgă și-a lansat cele mai noi cărți. Două titluri, o temă comună: fericirea
"Cooking My Dream": Povestea impresionantă a lui Chef Richard Abou Zaki, primul român cu stea Michelin
Raghav Sahgal arată la București cum poate măsura vârsta biologică a fiecărui organ dintr-o probă de sânge
„Corpul uman are nevoie de mentenanță, nu de miracole.” Aubrey de Grey, la București