Subiecte matematică BAC 2021. A fost extrasă varianta a doua. Cum arată subiectele la mate-info, filiera tehnologică şi la specializarea ştiinţele naturii
Marţi, 28 iunie, absolvenţii clasei a XII-a susţin la examenul de Bacalaureat proba obligatorie a profilului: Matematică la profilul real și Istorie la profilul umanist.
UPDATE 15:15: Au fost publicate subiectele şi baremul de corectare la matematică tehnologic, pedagogic, ştiinţele naturii şi mate-info.
UPDATE 11:45: Subiectele cele mai dificile la matematică au fost cele primite de absolvenţii de la specializarea matematică-informatică.
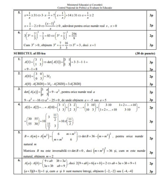
Subiecte BAC mate info
Subiecte BAC mate info
Sursă: Edupedu.ro.
UPDATE 11: 34: Cum se rezolvau subiectele la matematică de la profilul tehnologic şi ştiinţele naturii.
UPDATE 10:30: Au apărut subiectele primite de candidaţii de la profilul real, specializarea ştiinţele naturii.
Subiecte BAC matematică ştiinţele naturii
UPDATE 09:30: Absolvenţii de clasa a XII-a au primit varianta 2 la examenul de BAC, la matematică, filiera tehnologică.
Subiecte BAC matematica profil real
Ştire iniţială: La examenul de Bacalaureat 2021 s-au înscris 133.663 de candidați, cu peste 20.000 mai puțini decât anul trecut. Dintre cei înscriși, peste 125.000 susțin marți proba obligatorie a profilului, dintre care peste 85.000 la Matematică și puțin peste 40.000 la Istorie.
Subiecte matematică Bac 2021. Reguli stricte pentru rezolvarea subiectelor la matematică
Examenul de Bac continuă cu proba obligatorie a profilului, iar pentru cei de la real aceasta este la matematică. Examenul de Bacalaureat la matematică începe de la ora 9.00, iar accesul elevilor în sălile de curs va fi permis până la ora 8:30, pe baza actului de identitate. Rezolvarea subiectelor la matematică Bac 2021 va dura trei ore, iar candidații trebuie să folosească doar cerneală sau pastă de culoare albastră.
La Matematică, absolvenții de liceu vor primi patru variante de subiecte, în funcție de specializare: matematică-informatică (M1), științe ale naturii (M2), tehnologic (M3) și respectiv pedagogic (M4) – specializarea învățător-educatoare.
Probele de examen vor fi supravegheate video. Este interzisă introducerea în sălile examen a unor obiecte, precum ghiozdane, poșete etc. De asemenea, elevii vor fi informaţi că nu este permis accesul în săli cu manuale, dicţionare, notiţe, însemnări etc., precum şi cu orice mijloc electronic de calcul, de stocare de informaţii sau de comunicare (stick-uri de memorie, telefoane, tablete etc.). În acelaşi timp, candidaţilor le este interzis să comunice între ei sau cu exteriorul, să transmită ori să schimbe între ei foi din lucrare, ciorne, notiţe sau alte materiale care ar putea fi utilizate pentru rezolvarea subiectelor, pentru comunicare în interior sau cu exteriorul. Cei surprinşi în aceste situaţii vor fi eliminaţi din examen, indiferent dacă materialele/obiectele interzise au fost folosite sau nu, a mai transmis Ministrul Educaţiei.
Lucrările la examenul de Bac 2021 la matematică vor fi evaluate, ulterior, de doi profesori. Pentru a trece examenul de bacalaureat, este nevoie de minim nota 5 la fiecare materie, însă de o medie aritmetică finală de minim 6. Anul acesta, din cauza contextului pandemic, competențele lingvistice și digitale au fost echivalate/ recunoscute și probele nu s-au mai susținut.
Potrivit Ministerului, în sălile de clasă în care se desfăşoară probele, locurile se stabilesc astfel încât să existe între candidaţi o distanţă de 1 metru unul faţă de celălalt, pe rânduri şi între rânduri, iar în situaţia în care acest lucru nu se poate realiza, se va asigura distanţarea maximă posibilă. De asemenea, fiecare persoană care are drept de acces în şcoală va primi câte o mască la sosire şi, dacă solicită, şi la plecare, sălile de clasă vor avea dezinfectanţi pentru mâini, iar în incinta centrului de examen va fi purtată, obligatoriu, masca de protecţie. Timpul destinat elaborării unei lucrări scrise este de trei ore, din momentul în care s-a încheiat distribuirea subiectelor in sala de examen.
Subiecte matematică Bac 2021. Cum trebuie să fie rezolvate subiectele la proba de Matematică
Proba de Bacalaureat la matematică este structurată pe trei subiecte mari, pentru fiecare subiect se vor acorda câte 30 de puncte, iar 10 puncte se acordă din oficiu.
Candidații trebuie să știe câteva elemente de logică matematică, precum mulțimi, operații algebrice, șiruri, funcții și lecturi grafice, definițiile funcției, funcții numerice, funcția de gradul I, sisteme de inecuații de gradul I, funcții de gradul II. De asemenea, aceștia trebuie să interpreteze geometric proprietăți algebrice ale funcției de gradul II, dar și să știe despre vectori în plan și operații cu vectori.
La proba de matematică de la Bacalaureat 2021 trebuie să stăpânească noțiunile de coliniaritate, concurență, paralelism și calculi vectoriali în geometria plană, dar și elemente de trigonometrie.
În privința competențelor specifice, se va urmări:
- Identificarea unor noțiuni specifice logicii matematicii și teoriei mulțimilor.
- Utilizarea proprietăților operațiilor algebrice.
- Alegerea unui număr real și utilizarea de algoritmi pentru optimizarea calculelor cu numere reale.
- Redactarea rezolvării unei probleme.
- Transpunerea unei situații în limbaj matematic. Recunoașterea unor corespondențe care sunt funcții, șiruri, progresii.
- Analizarea unor valori particulare pentru determinarea formei analitice a unei funcții definite pe N prin raționament de tip inductiv.
- Operarea cu funcții reprezentate în diferite moduri, deducerea unor proprietăți ale funcțiilor numerice prin lectură grafică.
- Recunoașterea funcției de gradul I, aplicarea de algoritmi pentru trasarea graficului de gradul al II-lea, interpretarea informațiilor conținute în reprezentări grafice.
Subiecte matematică Bac 2021. Model de subiecte pentru matematică şi baremul de rezolvare
Iată câteva modele de subiecte pentrui matematică în funcţie de specializarea profilului din care face parte candidatul.
Pentru specializarea matematică-informatică. Model de subiecte şi barem de rezolvare
Iată model pentru profilul matematică-informatică şi baremul de corectare. Cum trebuie rezolvate subiectele.
Pentru specializarea pedagogic. Model de subiecte şi barem de rezolvare
Iată modele pentru specializarea pedagogică. Cum trebuie rezolvate subiectele şi baremul de corectare.
Pentru specializarea ştiinţele naturii. Model de subiecte şi barem de rezolvare
Iată model de subiecte pentrui specializarea ştiinţele naturii. Barem de rezolvare.
Pentru specializarea tehnologic. Model de subiecte şi barem de rezolvare
Iată model de subiecte pentru profilul tehnologic. Barem de corectare.
Bac 2021. Calendarul examenelor
Sesiunea iunie - iulie 2021
- 31 mai - 4 iunie 2021 - Înscrierea candidaţilor la prima sesiune de examen
- 4 iunie 2021 - Încheierea cursurilor pentru clasa a XII-a/a XIII-a
- 14-16 iunie 2021 - Evaluarea competenţelor lingvistice de comunicare orală în limba română -proba A
- 16-17 iunie 2021 - Evaluarea competenţelor lingvistice de comunicare orală în limba maternă - proba B
- 18-23 iunie 2021 - Evaluarea competenţelor digitale - proba D
- 23-25 iunie 2021 - Evaluarea competenţelor lingvistice într-o limbă de circulaţie internaţională – proba C
- 28 iunie 2021 - Limba şi literatura română - proba E.a) - proba scrisă
- 29 iunie 2021 - Proba obligatorie a profilului - proba E.c) - proba scrisă
- 30 iunie 2021 - Proba la alegere a profilului şi specializării - proba E.d) - proba scrisă
- 1 iulie 2021 - Limba şi literatura maternă - proba E.b) - proba scrisă
- 5 iulie 2021 - Afişarea rezultatelor la probele scrise până la ora 12,00) şi depunerea contestaţiilor în intervalul orar 12,00 - 18,00
- 6 - 9 iulie 2021 - Rezolvarea contestaţiilor
- 9 iulie 2021 - Afişarea rezultatelor finale
Sesiunea august – septembrie 2021
- 19 - 26 iulie 2021 - Înscrierea candidaţilor la a doua sesiune de examen, inclusiv a candidaţilor care au promovat examenele de corigenţe
- 16 august 2021 - Limba şi literatura română - proba E.a) - proba scrisă
- 17 august 2021 - Proba obligatorie a profilului - proba E.c) - proba scrisă
- 18 august 2021 - Proba la alegere a profilului şi specializării - proba E.d) - proba scrisă
- 19 august 2021 - Limba şi literatura maternă - proba E.b) - proba scrisă
- 23-24 august 2021 - Evaluarea competenţelor lingvistice de comunicare orală în limba română – proba A
- 25 august 2021 - Evaluarea competenţelor lingvistice de comunicare orală în limba maternă - proba B
- 26 - 27 august 2021 - Evaluarea competenţelor digitale - proba D
- 30 - 31 august 2021 - Evaluarea competenţelor lingvistice într-o limbă de circulaţie internaţională - proba C 31 august 2021 - Afişarea rezultatelor la probele scrise (până la ora 12,00) şi depunerea contestaţiilor (orele 12,00 - 18,00)
- 1- 3 septembrie 2021 - Rezolvarea contestaţiilor.
Puteţi urmări ştirile Observator şi pe Google News şi WhatsApp! 📰
Înapoi la Homepage
