Galerie foto Barem Evaluare Naţională 2023 - Matematică. Cum se rezolvă subiectele primite de elevi
Evaluare Națională 2023. Ministerul Educaţiei a publicat baremele de corectare şi notare pentru proba de Matematică. Evaluarea Națională 2023 a continuat miercuri, 21 iunie, cu proba la Matematică.
La proba de Matematică, un răspuns de la Subiectul I sau de la Subiectul al II-lea poate fi corectat prin tăierea cu o linie orizontală și încercuirea altui răspuns considerat corect. La figurile de la proba de matematică sunt permise marcajele pe figură și completarea figurilor cu creion sau stilou/pix de culoare albastră. La proba de matematică este permisă realizarea unor figuri geometrice (cu creion sau stilou/pix de culoare albastră) în spațiul pus la dispoziție pentru rezolvarea problemelor.
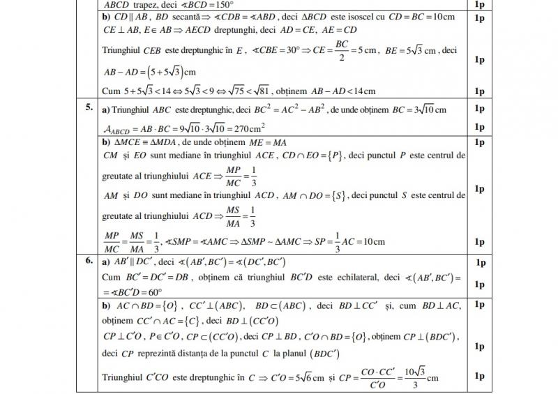
Barem subiecte - proba de Matematică 2023
Ministerul Educaţiei a publicat baremele de corectare şi notare pe site-ul subiecte.edu.ro.


Subiecte - proba de Matematică 2023









Rezultatele la Evaluarea Națională se afișează pe 28 iunie
Rezultatele inițiale vor fi afișate miercuri, 28 iunie, până la ora 14:00. Contestațiile pot fi depuse la centrele de examen sau transmise prin mijloace electronice, în zilele de 28 iunie (în intervalul orar 16:00 - 19:00) și 29 iunie (în intervalul orar 8:00 - 12:00).
Candidații care depun/transmit contestațiile completează, semnează și depun/transmit și o declarație-tip în care se menționează că au luat cunoștință că nota acordată ca urmare a soluționării contestației poate modifica, după caz, nota inițială, prin creștere sau descreștere. Documentele sunt semnate și de către părinții/reprezentanții legali ai candidaților minori.
Rezultatele finale vor fi afișate marți, 4 iulie
Comunicarea rezultatelor obţinute se face anonimizat prin coduri individuale care înlocuiesc numele şi prenumele candidaţilor, atât în centrele de examen, cât şi pe Internet, respectându-se Regulamentul general privind protecţia datelor personale. Codurile individuale vor fi distribuite candidaţilor, pe bază de semnătură de primire, la prima probă susţinută. Pentru comunicarea notelor obținute la examenul de evaluare națională, înainte de etapa de depunere și soluționare a contestațiilor, comisiile din unitățile de învățământ — centre de examen tipăresc lista rezultatelor examenului de evaluare națională care cuprinde:
► codul candidatului
► unitatea de învățământ de proveniență
► notele obținute la fiecare probă scrisă
► media sau mențiunea "absent"/"eliminat din examen", după caz.
Comisiile din unitățile de învățământ / centre de examen afișează/postează, utilizând codurile individuale ale candidaților care au depus contestații, notele obținute în urma rezolvării contestațiilor, la loc vizibil, la avizier și pe website-ul unității de învățământ. Comisiile din unitățile de învățământ / centre de examen tipăresc lista rezultatelor finale după contestații ale candidaților anonimizați și o afișează, conform calendarului cu semnătura președintelui și a secretarului comisiei din centrul de examen, la avizierul unității de învățământ și pe website-ul acesteia.
Rezultatele examenului de evaluare națională ale candidaților anonimizați sunt afișate și pe pagina de internet a Ministerului Educației și a inspectoratelor școlare. Candidatul major și părinții/reprezentanții legali ai candidatului minor pot solicita comisiei județene/Comisiei municipiului București de organizare a evaluării naționale vizualizarea lucrării/lucrărilor propriului copil numai după afișarea rezultatelor finale, după etapa de soluționare a contestațiilor.
La vizualizarea lucrării/lucrărilor, candidatul minor trebuie să fie însoțit obligatoriu de un părinte/reprezentant legal.
Nota obţinută în etapa de soluţionare a contestaţiilor este nota definitivă, indiferent de punctajul obţinut, în plus sau în minus, faţă de nota acordată în etapa de evaluare iniţială a lucrării. Această notă nu mai poate fi modificată şi reprezintă nota obţinută de candidat la proba respectivă.
Calendarul Evaluării Naționale 2023
► 19 iunie 2023: Limba și literatura română – probă scrisă
► 21 iunie 2023: Matematica – probă scrisă
► 22 iunie 2023: Limba și literatura maternă – probă scrisă
► 28 iunie 2023 (până la ora 14:00): Afișarea rezultatelor înaintea contestațiilor
► 28 iunie 2023 (ora 16:00 – ora 19:00) – 29 iunie 2023 (ora 8:00 – ora 12:00): Depunerea contestațiilor
► 29 iunie – 4 iulie 2023: Soluționarea contestațiilor
► 4 iulie 2023: Afișarea rezultatelor finale după soluționarea contestațiilor.
Ministerul Educației pune la dispoziția celor interesați o linie TELVERDE - 0800801100 - pentru sesizarea eventualelor disfuncționalități privind desfășurarea evaluării naționale. Numărul va fi disponibil pe durata probelor scrise (19 - 22 iunie, între orele 8:00 - 16:00)
Pe evaluare.edu.ro şi www.observatornews.ro găseşti toate informaţiile legate de examenele susţinute de absolvenţii clasei a VIII-a din România: subiecte, barem şi rezultate.
Rezultatele înregistrate anul trecut, la Evaluarea Naţională
Anul trecut, conform rezultatelor finale, la proba de Limba și literatura română, 128.159 de elevi (86,1%) au încheiat examenul cu note mai mari sau egale cu 5 (cinci), iar dintre aceștia, 824 de elevi au obținut nota 10.
La Matematică, 115.223 de elevi (77,5%) au primit note mai mari sau egale cu 5 (cinci), iar dintre aceștia, 3.038 au obținut note de 10.
La Limba și literatura maternă, 8.903 elevi (96,1%) au primit note mai mari sau egale cu 5 (cinci), iar 83 de candidați au obținut note de 10.
Cele mai multe medii de 10 s-au înregistrat în Bucureşti, 37, iar locul doi a fost împărţit de Cluj şi Argeş cu câte 17 medii. Pe al treilea loc s-a situat judeţul Iaşi, cu 16 medii de 10.
Admiterea la liceu în 2023
Absolvenţii clasei a VIII-a din promoţia 2023, dar şi cei din promoţiile anterioare care nu împlinesc 18 ani până la data începerii noului an şcolar, se pot înscrie în învăţământul liceal la cursuri de zi. Înscrierea candidaţilor care doresc să participe la admiterea computerizată în alt judeţ se realizează la unitatea de învăţământ din care provin candidaţii, conform unei proceduri elaborate de Comisia naţională de admitere.
Înscrierea în clasa a IX-a învăţământ liceal preuniversitar de stat se face fără examen, pe baza mediei de admitere.
Notele din gimnaziu nu mai sunt luate în calcul pentru admiterea la liceu
Daca în anii trecuți, elevii erau ajutați și de notele din gimnaziu ca să se poată inscrie în clasa a IX-a, acum aceste medii nu mai sunt luate în calcul.
Potrivit ordinului ministrului educației 5.243 din 2022, privind organizarea și desfășurarea admiterii în învățământul liceal pentru anul școlar 2023-2024, publicat în Monitorul Oficial, media claselor V-VIII nu mai este luată în calcul pentru admiterea la liceu.
Astfel, media de admitere, pe baza căreia se realizează înscrierea în clasa a IX-a de liceu a absolvenților învățământului gimnazial, o reprezintă media generală la evaluarea națională susținută de absolvenții clasei a VIII-a, calculată ca medie aritmetică, cu două zecimale, fără rotunjire, a notelor obținute la probele incluse în Evaluarea Națională.
Puteţi urmări ştirile Observator şi pe Google News şi WhatsApp! 📰
Înapoi la Homepage
