Cum se rezolvă subiectele la fizică de la Bacalaureat 2022. Baremul de corectare a fost publicat
Ministerul Educației a publicat, pe subiecte.edu.ro, baremul de corectare și subiectele de la proba la alegere a profilului de la examenul de Bacalaureat 2022 - fizică.
Elevii de clasa a XII-a au susţinut azi proba la alegere a profilului la Bacalaureat 2022. Subiectele şi baremul de corectare pentru proba de fizică au fost publicate de Ministerul Educaţiei pe subiecte.edu.ro. Joi are loc proba la limba maternă. Primele rezultate vor fi afişate pe 27 iunie şi le veţi regăsi pe Observatornews.ro.
Barem fizică - filiera teoretic/vocaţional - BAC 2022




Cum se rezolvă subiectele la fizică de la Bacalaureat 2022. Baremul de corectare a fost publicat
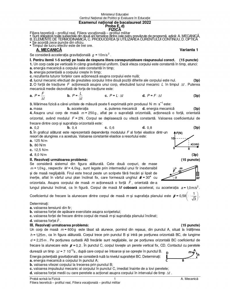
Subiecte fizică - filiera teoretic/vocaţional - BAC 2022



Cum se rezolvă subiectele la fizică de la Bacalaureat 2022. Baremul de corectare a fost publicat
Barem fizică - filiera tehnologică - BAC 2022



Cum se rezolvă subiectele la fizică de la Bacalaureat 2022. Baremul de corectare a fost publicat
Subiecte fizică - tehnologică - BAC 2022



Cum se rezolvă subiectele la fizică de la Bacalaureat 2022. Baremul de corectare a fost publicat
Cum se rezolvă subiectele la matematică şi istorie la Bacalaureat 2022. Baremul de corectare a fost publicat
- Baremul de corectare la matematică, în funcţie de profil, specializare şi filieră
- Baremul de corectare la istorie, pentru elevii de la profilul uman
Cum se rezolvă subiectele la română la Bacalaureat 2022. Baremul de corectare a fost publicat
Ministerul Educaţiei a publicat baremul de corectare pentru subiectele la limba română. Caragiale a fost vedeta subiectului. Caracterizare de personaj şi particularităţile unei comedii studiate au fost enunţurile de la subiectul al treilea, în timp ce la primul subiect elevii au primit un text la prima vedere de Nicolae Iorga.
Bacalaureat 2022. Cum se depun contestaţiile la BAC
În 27 iunie, când sunt afişate primele primele rezultate, se depun şi contestaţiile. Cei nemulţumiţi pot solicita recorectarea lucrărilor, depunând contestaţiile în intrevalul orar 12:00 – 18:00.
Acestea vor fi soluţionate între 28 şi 30 iunie 2022.
Potrivit ordinului emis de Ministerul Educaţiei, după încheierea evaluării lucrărilor, notele acordate după reevaluare sunt comparate cu cele iniţiale. Dacă se observă o diferenţă mai mare de un punct, se numeşte o nouă comisie de evaluare, iar nota oferită de această a doua comisie va fi şi cea finală.
Candidaţii care depun contestaţii completează şi semnează o declaraţie-tip în care se menţionează faptul că au luat cunoştinţă că nota acordată ca urmare a soluţionării contestaţiei poate modifica nota iniţială prin creştere sau descreştere, după caz.
Când se afişează rezultatele la Bacalaureat 2022
Primele rezultate la Bac 2022 sunt afişate în data de 27 iunie (până la ora 12:00). Elevii vor afla notele finale - după contestaţii - în data de 1 iulie
Comunicarea rezultatelor la Bacalaureat se face anonimizat, utilizându-se codurile individuale care înlocuiesc numele şi prenumele candidaţilor şi care au fost distribuite candidaţilor, pe bază de semnătură de primire, la prima probă susţinută de aceştia.
Cum se calculează media la BAC 2022
Pentru fiecare candidat care a obținut cel puțin nota 5 (cinci) la toate probele scrise de examen, se calculează media generală de bacalaureat ca medie aritmetică, cu două zecimale, fără rotunjire, din notele obținute la respectivele probe.
Pentru cei care obțin media generală 5,99, media generală se rotunjește la 6,00.
Ce urmează pentru cei care promovează examenul
Candidații care promovează examenul de bacalaureat 2022 pot continua studiile în învățământul superior, în țară sau în străinătate, în conformitate cu condiţiile generale şi specifice stabilite în acest sens. În urma promovării examenului de bacalaureat, absolventului i se eliberează diplomă de bacalaureat. Absolvenţii care au promovat toate clasele liceale cu medii generale de minimum 9,50, iar la examenul de bacalaureat au obţinut media 10 primesc diploma de merit.
Ce urmează pentru cei care nu promovează Bacalaureatul
Elevii care nu au promovat examenul de bacalaureat se pot înscrie în sesiunile următoare. În cazul nepromovării, pot fi recunoscute în sesiunile următoare, la cerere, rezultatele la evaluările susţinute, respectiv rezultatele la probele scrise care au fost promovate cu cel puţin nota 5. Candidaţii au dreptul să susţină examenul de bacalaureat, fără taxă, de cel mult două ori. Astfel, Bacalaureat 2022 are şi o sesiune de toamnă, organizată pentru elevii care nu au promovat examenul în prima sesiunea, dar și pebtru cei care au promovat examenele de corigenţe.
Calendar examene Bacalaureat 2022, iunie – iulie
- 23 – 27 mai 2022 – Înscrierea candidaților la prima sesiune de examen
- 27 mai 2022 – Încheierea cursurilor pentru clasa a XII-a/a XIII-a
- 6 – 8 iunie 2022 – Evaluarea competențelor lingvistice de comunicare orală în limba română – proba A
- 8 – 9 iunie 2022 – Evaluarea competențelor lingvistice de comunicare orală în limba maternă – proba B
- 9 – 10 iunie 2022 – Evaluarea competențelor digitale – proba D
- 13 – 15 iunie 2022 – Evaluarea competențelor lingvistice într-o limbă de circulație internațională – proba C
- 20 iunie 2022 – Limba și literatura română – proba E.a) – proba scrisă
- 21 iunie 2022 – Proba obligatorie a profilului – proba E.c) – proba scrisă
- 22 iunie 2022 – Proba la alegere a profilului și specializării – proba E.d) – proba scrisă
- 23 iunie 2022 – Limba și literatura maternă – proba E.b) – proba scrisă
- 27 iunie 2022 – Afișarea rezultatelor la probele scrise (până la ora 12:00) și depunerea contestațiilor în intervalul orar 12:00—18:00
- 28 – 30 iunie 2022 – Rezolvarea contestațiilor
- 1 iulie 2022 – Afișarea rezultatelor finale
Calendar Bacalaureat toamnă, sesiunea august - septembrie 2022
- 18 – 25 iulie 2022 - Înscrierea canddaților la a doua sesiune de examen, inclusiv a candidaților care au promovat examenele de corigențe
- 16 august 2022 - Limba și literatura română — proba E.a) — proba scrisă
- 17 august 2022 - Proba obligatorie a profilului — proba E.c) — proba scrisă
- 18 august 2022 - Proba la alegere a profilului și specializării —– proba E.d) — proba scrisă
- 19 august 2022 - Limba și literatura maternă — proba E.b) — proba scrisă
- 22 – 23 august 2022 - Evaluarea competențelor lingvistice de comunicare orală în limba română — proba A
- 24 august 2022 Evaluarea competențelor lingvistice de comunicare orală în limba maternă — proba B
- 25 august 2022 - Evaluarea competențelor digitale — proba D
- 26 și 29 august 2022 - Evaluarea competențelor lingvistice într-o limbă de circulație internațională — proba C
- 31 august 2022 - Afișarea rezultatelor la probele scrise (până la ora 12:00) și depunerea contestațiilor (orele 12:00 – 18:00)
- 1 – 2 septembrie 2022 - Rezolvarea contestațiilor
- 3 septembrie 2022 - Afișarea rezultatelor finale
Puteţi urmări ştirile Observator şi pe Google News şi WhatsApp! 📰
Înapoi la Homepage
