Barem Filosofie și Logică, Bac 2020. Cum se rezolvau subiectele
Barem Filosofie și Logică, Bacalaureat 2020. Joi, 25 iunie, absolvenții de clasa a XII-a au avut examen la proba la alegere a profilului și a specializării, la Filosofie sau Logică, potrivit calendarului aprobat de Ministerul Educaţiei Naţionale.
- Absolvenții de clasa a XII-a au dat examen, joi, la proba la alegere a profilului și a specializării la Bacalaureat.
- Mulți dintre candidații de la profilul uman au ales să dea examenul fie la Filosofie, fie la Logică.
Vezi aici subiectele la Filosofie și Logică de anul acesta, la Bacalaureat.
Barem subiecte Filosofie, Bac 2020
Subiecte filosofie
Barem filosofie 2020
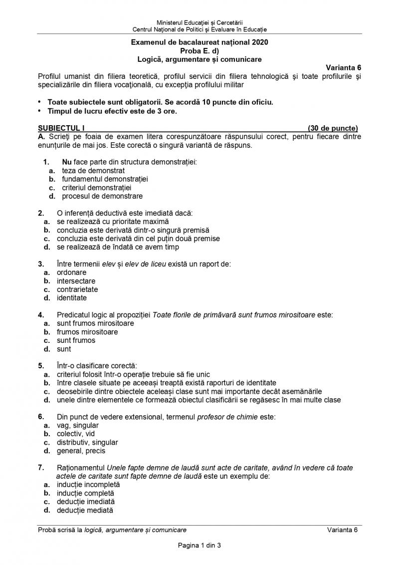
Barem subiecte Logică, Bac 2020
Subiecte logică BAC
Barem logică BAC
Pentru susținerea probelor scrise s-au înscris aproximativ 155.500 candidați, dintre care aproximativ 123.800 candidați din promoția curentă, respectiv 31.800 candidați din promoțiile anterioare.
În conformitate cu prevederile art.5 și ale art.6 din Regulamentul UE 2016/679 privind protecția persoanelor fizice în ceea ce privește prelucrarea datelor cu caracter personal și privind libera circulație a acestor date de abrogare a Directivei 95/46/CE (Regulamentul general privind protecția datelor – RGPD), precum și cu solicitarea Autorității Naționale de Supraveghere a Prelucrării Datelor cu Caracter Personal, afișarea rezultatelor se va face cu anonimizarea numelui și a prenumelui candidatului.
Contestațiile pot fi depuse în aceeași zi, în intervalul orar 16:00 – 20:00, respectiv 1 iulie, în intervalul orar 8:00 – 12:00. Acestea pot fi depuse/transmise și prin mijloace electronice. În această situație, candidații completează, semnează și depun/transmit prin mijloace electronice și o declarație-tip în care se menționează faptul că au luat cunoștință că nota acordată ca urmare a soluționării contestației poate modifica, după caz, nota inițială, prin creștere sau descreștere. Pentru candidații minori, declarația-tip este semnată și de către părinții/reprezentanții legali ai acestora.
Rezultatele finale vor fi făcute publice în data de 5 iulie.
Probele au început la ora 9:00, accesul elevilor în săli fiind permis până la ora 8:30.
CALENDAR BACALAUREAT 2020:
3-10 iunie: înscrierea candidaților
11-17 iunie: echivalarea și recunoașterea competențelor lingvistice și digitale
22 iunie: Limba și literatura română – proba E.a) proba scrisă
23 iunie: Limba și literatura maternă – proba E.b) – proba scrisă
24 iunie: Proba obligatorie a profilului – proba E. c) – proba scrisă
Matematică – pentru absolvenții claselor de liceu cu profil real din filiera teoretică, pentru cei care au terminat filiera tehnologică și pentru absolvenții de la profilul militar și profilul pedagogic – specializarea învățători-educatoare, din filiera vocațională
Istorie – pentru absolvenții de la profilul umanist din filiera teoretică și pentru toate profilurile și specializările din filiera vocațională, cu excepția celor de mai sus.
25 iunie: Proba la alegere a profilului și a specializării – proba E.d) – proba scrisă
Fizică, Chimie, Biologie sau Informatică – elevii de la profilul real din filiera teoretică, de la profilul tehnic și profilul resurse naturale și protecția mediului din filiera tehnologică și de la profilul militar din filiera vocațională
Geografie, Filosofie, Logică, Economie, Psihologie sau Sociologie – absolvenții de la profilul umanist din filiera teoretică, de la profilul servicii din filiera tehnologică și din toate profilurile și specializările din filiera vocațională, cu excepția celui menționat mai sus
30 iunie: Afișarea rezultatelor la probele scrise, până la ora 12:00. Depunerea contestațiilor în intervalul orar 16:00-20:00
1 iulie: Depunerea contestațiilor în intervalul orar 8:00-12:00
1-4 iulie: Rezolvarea contestațiilor
5 iulie: Afișarea rezultatelor finale.
Sesiunea specială, pentru candidații care au avut temperatură mai mare de 37,3 grade Celsius sau au avut probele medicale, începe din 6 iulie.
Puteţi urmări ştirile Observator şi pe Google News şi WhatsApp! 📰
Înapoi la Homepage
