Barem de corectare Bacalaureat de toamnă 2024 - matematică. Cum se rezolvă subiectele
Examenul de bacalaureat 2024, sesiunea de toamnă. Săptămâna aceasta a început a doua sesiune scrisă a examenului de Bacalaureat. La a doua probă a sesiunii de toamnă a Bacalaureatului, cea la matematică, candidaţii au avut de rezolvat subiecte diferite, în funcţie de profilul real urmat în cei patru ani de liceu. Ministerul Educației a publicat pe subiecte.edu.ro subiectele și baremele de corectare.
Bacalaureat de toamnă 2024 - matematică. Candidații care vor să consulte subiectele și baremele de corectare integrale pot accesa site-ul Ministerului Educației, subiecte.edu.ro.
Barem de corectare Bacalaureat de toamnă 2024 - matematică M1
Subiecte Bacalaureat de toamnă 2024 - matematică M1
Barem de corectare Bacalaureat de toamnă 2024 - matematică Ştiinţele naturii
Subiecte Bacalaureat de toamnă 2024 - matematică Ştiinţele naturii
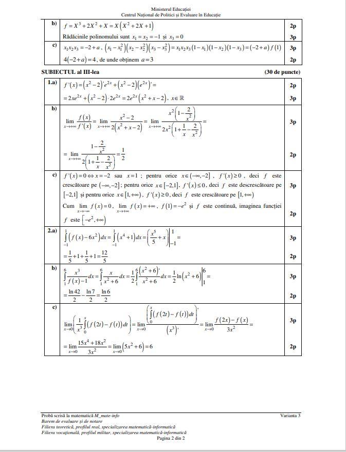
Barem de corectare Bacalaureat de toamnă 2024 - matematică Tehnologic
Subiecte Bacalaureat de toamnă 2024 - matematică Tehnologic
Barem de corectare Bacalaureat de toamnă 2024 - matematică Pedagogic
Subiecte Bacalaureat de toamnă 2024 - matematică Pedagogic
Bac 2024, sesiunea de toamnă. Calendarul probelor
Sesiunea de toamnă a Bacalaureatului începe cu examenul scris la limba şi literatura română. Pe 20 august urmează proba obligatorie a profilului, adica matematica sau istoria. Iar miercuri, testul numărul trei, la alegere, în funcţie de profil.
- 15 – 22 iulie 2024: Înscrierea candidaților la a doua sesiune de examen, inclusiv a candidaților care au promovat examenele de corigențe
- 8 – 9 august 2024: Evaluarea competențelor lingvistice de comunicare orală în limba română – proba A
- 9 august 2024: Evaluarea competențelor lingvistice de comunicare orală în limba maternă – proba B
- 12 august 2024: Evaluarea competențelor digitale – proba D
- 13 – 14 august 2024: Evaluarea competențelor lingvistice într-o limbă de circulație internațională – proba C
- 19 august 2024: Limba și literatura română – proba E.a) – proba scrisă
- 20 august 2024: Proba obligatorie a profilului – proba E.c) – proba scrisă
- 21 august 2024: Proba la alegere a profilului și specializării – proba E.d) – proba scrisă
- 22 august 2024: Limba și literatura maternă – proba E.b) – proba scrisă
- 26 august 2024: Afișarea rezultatelor la probele scrise (până la ora 12.00) și depunerea contestațiilor (orele 12.00 – 18.00)
- 27 – 29 august 2024: Rezolvarea contestațiilor
- 30 august 2024: Afișarea rezultatelor finale
Bac 2024, sesiunea de toamnă. Când vor fi afişate primele rezultate
Primele rezultate vor fi afişate în data de 26 august (până la ora 12,00), iar contestaţiile se pot depune în intervalul orar 12,00 - 18,00, în aceeaşi zi. Rezultatele finale vor fi comunicate în data de 30 august.
Un candidat este declarat promovat la examenul naţional de Bacalaureat dacă îndeplineşte, simultan, următoarele condiţii: a susţinut probele de evaluare a competenţelor, a susţinut toate probele scrise, a fost notat cu minimum 5 la fiecare dintre acestea şi a obţinut, în final, cel puţin media 6.
În cea de a doua sesiune a Bacalaureatului s-au înscris peste 33.600 de candidaţi. Sunt candidaţi care urmează să susţină toate probele sau, în funcţie de rezultatele obţinute în sesiunile anterioare, doar pe cele nepromovate. Conform datelor furnizate de Inspectoratele şcolare judeţene, din totalul celor înscrişi, peste 22.000 de candidaţi provin din promoţia anului 2024, iar peste 11.500 din promoţiile anterioare.
Sesiunea a început în 8 august cu proba de evaluare a competenţelor lingvistice de comunicare orală în limba română, respectiv în 9 august cu proba de evaluarea competenţelor lingvistice de comunicare orală în limba maternă pentru elevii din partea minorităţilor naţionale. Pe 12 august a avut loc evaluarea competenţelor digitale, iar în zilele de 13 şi 14 august evaluarea competenţelor lingvistice într-o limbă de circulaţie internaţională.
Puteţi urmări ştirile Observator şi pe Google News şi WhatsApp! 📰
Înapoi la Homepage
