SUBIECTE BACALAUREAT 2016. Subiecte la Anatomie-Biologie, probă la alegere a profilului real
Elevii clasei a XII-a susţin, vineri, ultima probă scrisă a examenului de BACALAUREAT 2016, proba la alegere a profilului şi specializării. În funcţie de profilul urmat, uman sau real, candidaţii au putut opta pentru una dintre următoarele discipline: anatomie-biologie, chimie, fizică, economie, filosofie, geografie, informatică, logică şi argumentare, sociologie şi psihologie.
Elevii clasei a XII-a susţin, vineri, ultima probă scrisă a examenului de BACALAUREAT 2016, proba la alegere a profilului şi specializării. În funcţie de profilul urmat, uman sau real, candidaţii au putut opta pentru una dintre următoarele discipline: anatomie-biologie, chimie, fizică, economie, filosofie, geografie, informatică, logică şi argumentare, sociologie şi psihologie.
SUBIECTE BAC 2016. EDU.RO Candidaţii pot găsi modele de subiecte pentru proba de anatomie-biologie, dar şi pentru celelalte probe ale examentului de bacalaureat pe site-ul subiecte2016.edu.ro.
SUBIECTE BAC 2016. EDU.RO Astfel, pentru candidaţii la Bacalaureat, profilul uman şi profil real, există mai multe variante de subiecte date ca model.
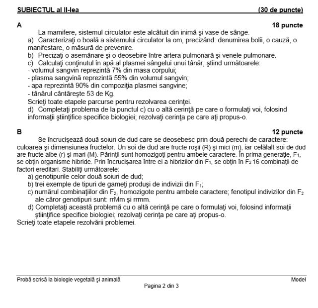
SUBIECTE BAC 2016. EDU.RO. MODEL SUBIECT ANATOMIE
"SUBIECTUL I
A 4 puncte
Scrieţi, pe foaia de examen, noţiunile cu care trebuie să completaţi spaţiile libere din afirmaţia următoare, astfel încât aceasta să fie corectă.
Cele trei segmente ale unui analizator sunt: periferic, ... şi .... .
B 6 puncte
Numiţi două afecţiuni ale sistemului reproducător; asociaţi fiecare afecţiune numită cu câte o măsură de prevenire.
C 10 puncte
Scrieţi, pe foaia de examen, litera corespunzătoare răspunsului corect. Este corectă o singură variantă de răspuns.
1. Tibia aparţine scheletului:
a) capului b) membrului superior c) membrului inferior d) trunchiului
2. Sângele oxigenat este propulsat în artera aortă prin contracţia:
a) atriului drept al inimii b) atriului stâng al inimii c) ventriculului drept al inimii d) ventriculului stâng al inimii
3. Ficatul: a) are rol în descompunerea glucozei în amidon b) este situat în cavitatea toracică c) participă la digestia gastrică a alimentelor d) secretă un suc digestiv lipsit de enzime
4. Componenta rinichiului în care se formează urina este:
a) nefronul b) pelvisul renal c) vezica urinară d) ureterul
5. Sensibilitatea tactilă fină este condusă prin fasciculul:
a) piramidal direct b) spinobulbar c) spinocerebelos d) spinotalamic lateral"
SUBIECTUL iII

SUBIECTUL III

SUBIECTE BAC 2016. EDU.RO. MODEL SUBIECT BIOLOGIE
"SUBIECTUL I
A 4 puncte
Scrieţi, pe foaia de examen, noţiunile cu care trebuie să completaţi spaţiile libere din afirmaţia următoare, astfel încât aceasta să fie corectă.
După consistenţa substanţei fundamentale, ţesuturile conjunctive sunt moi, ... şi ... .
B 6 puncte
Numiţi două faze ale meiozei; scrieţi în dreptul fiecărei faze câte o caracteristică.
C 10 puncte
Scrieţi, pe foaia de examen, litera corespunzătoare răspunsului corect. Este corectă o singură variantă de răspuns.
1. Cefalopodele sunt:
a) anelide, b) celenterate, c) cordate, d) moluşte
2. Din structura celulei animale lipseşte:
a) citoplasma, b) mitocondria, c) peretele celular, d) reticulul endoplasmic
3. Intestinul subţire al mamiferelor:
a) este componentă a tubului digestiv, b) este localizat în cavitatea toracică, c) participă la realizarea funcţiei de relaţie, d) secretă un suc digestiv care conţine tripsină .
4. Ascomicetele aparţin regnului:
a) Animale, b) Fungi, c) Plante, d) Protiste
5. Fiecare dintre celulele-fiice formate prin diviziunea mitotică a unei celule-mamă cu 2n = 26 cromozomi are:
a) 2n = 26 cromozomi b) 2n = 13 cromozomi c) n = 26 cromozomi d) n = 13 cromozomi
SUBIECTUL II
SUBIECTUL III
REZULTATE BAC 2016. Probele scrise ale examenului de Bacalaureat, susţinute din 4 până în 8 iulie
REZULTATE BAC 2016. Probele scrise ale examenului de Bacalaureat din prima sesiune au început luni, 4 iulie, cu examenul la Limba şi literatura română, urmat pe 5 iulie de testarea la limba şi literatura maternă, pe 6 iulie cu proba obligatorie a profilului şi pe 8 iulie cu proba la alegere a profilului şi specializării.
REZULTATE BAC 2016. Rezultatele la prima sesiune a Bacalaureatului vor fi afişate în 12 iulie, până în ora 16.00, şi în aceeaşi zi vor putea fi depuse contestaţiile, până la ora 20.00.
REZULTATE BAC 2016. În perioada 13-15 iulie vor fi soluţionate contestaţiile, iar rezultate finale vor fi afişate în 16 iulie.
REZULTATE BAC 2016. Promovarea examenului de Bacalaureat
REZULTATE BAC 2016. Absolvenţii de liceu promovează examenul de Bacalaureat dacă îndeplinesc, cumulativ, mai multe condiţii:
- au susţinut toate probele de evaluare a competenţelor lingvistice şi digitale şi au obţinut unul dintre nivelurile de competenţă - experimentat, avansat sau mediu;
- au susţinut toate probele scrise şi au obţinut cel puţin nota 5 la fiecare dintre acestea;
- au obţinut cel puţin media 6 la probele scrise.
REZULTATE BAC 2016. Media notelor la probele scrise se calculează ca medie aritmetică, cu două zecimale, fără rotunjire. Aceasta reprezintă media generală a candidatului la examenul de Bacalaureat.
REZULTATE BAC 2016. Examenul de Bacalaureat poate fi susţinut de elevii care au absolvit liceul, indiferent de forma de învăţământ. Candidaţi pot fi atât elevii care au absolvit liceul în acest an, cât şi cei din seriile anterioare care nu s-au prezentat până acum la examen sau au promovat doar unele probe, pe care nu le vor mai susţine.
REZULTATE BAC 2016. Bacalaureatul poate fi susţinut fără taxă de cel mult două ori. Candidaţii care se prezintă la examen pentru a treia oară cel puţin au plătit o sumă stabilită diferenţiat, în funcţie de numărul probelor la care se prezintă.
REZULTATE BAC 2016. Promovabilitatea la examenul de Bacalaureat din 2015
La Bacalaureatul din 2015, sesiunea iunie - iulie, au promovat 67,9 la sută dintre absolvenţi. Înainte de rezolvarea contestaţiilor, rata de promovare a fost de 66,41 la sută.
Din cei 159.715 absolvenţi de liceu care s-au prezentat la examenul din 2015 în prima sesiune, au promovat, după soluţionarea contestaţiilor, 108.436 (67,9%) de candidaţi, cu 1,5% peste rata de la prima afişare a rezultatelor (66,41%).
Rata de promovare la sesiunea iunie - iulie 2015 a Bacalaureatului a fost cea mai mare din ultimii cinci ani. Cele mai ridicate procente de promovare au fost în judeţele Cluj (83,42%), Braşov (80,53%), Bacău (79,97%) şi Sibiu (77,69%), în Bucureşti fiind de 70,22%. Singurele judeţe aflate sub 50% rată de promovare au fost Giurgiu (37,33%), Ilfov (41,90%) şi Teleorman (44,31%).
CALENDAR BACALAUREAT 2016
BACALAUREAT 2016. PROBE SCRISE
4 iulie - Limba şi literatura română (proba E)
5 iulie - Limba şi literatura maternă
6 iulie - Proba obligatorie a profilului
8 iulie - Proba la alegere a profilului şi specializării.
REZULTATE BACALAUREAT 2016
12 iulie - Rezultatele vor fi afişate pe 12 iulie, iar în acea zi, în intervalul 16.00 – 20.00, vor putea fi depuse contestaţiile.
16 iulie - Rezultatele finale.
Puteţi urmări ştirile Observator şi pe Google News şi WhatsApp! 📰
Înapoi la Homepage
